首    页 党       办 政      办 纪 检 办 人 事 科 教 务 处 德 育 处 体 艺 处 综 治 办 学生服务 总务处
工    会 团       委 财 务 科 心理中心 教育科研 考 核 办 实验信息 高一年级 高二年级 高三年级 图书馆
今天是:2026年04月01日 星期三  您现在位于: 首页 → 新闻中心 → 政务公开
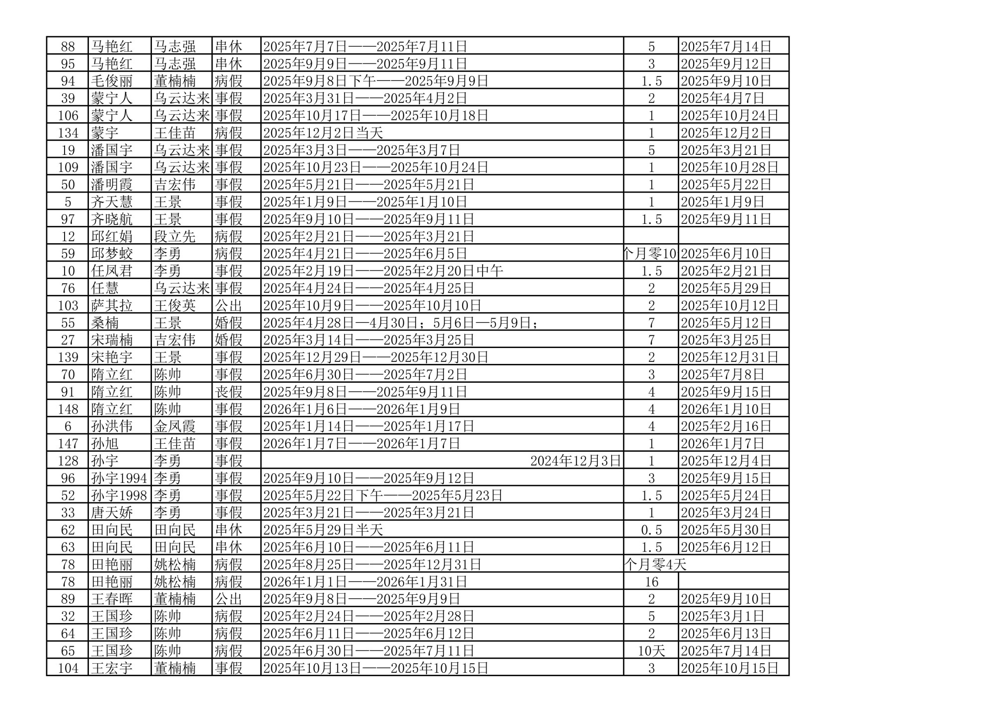
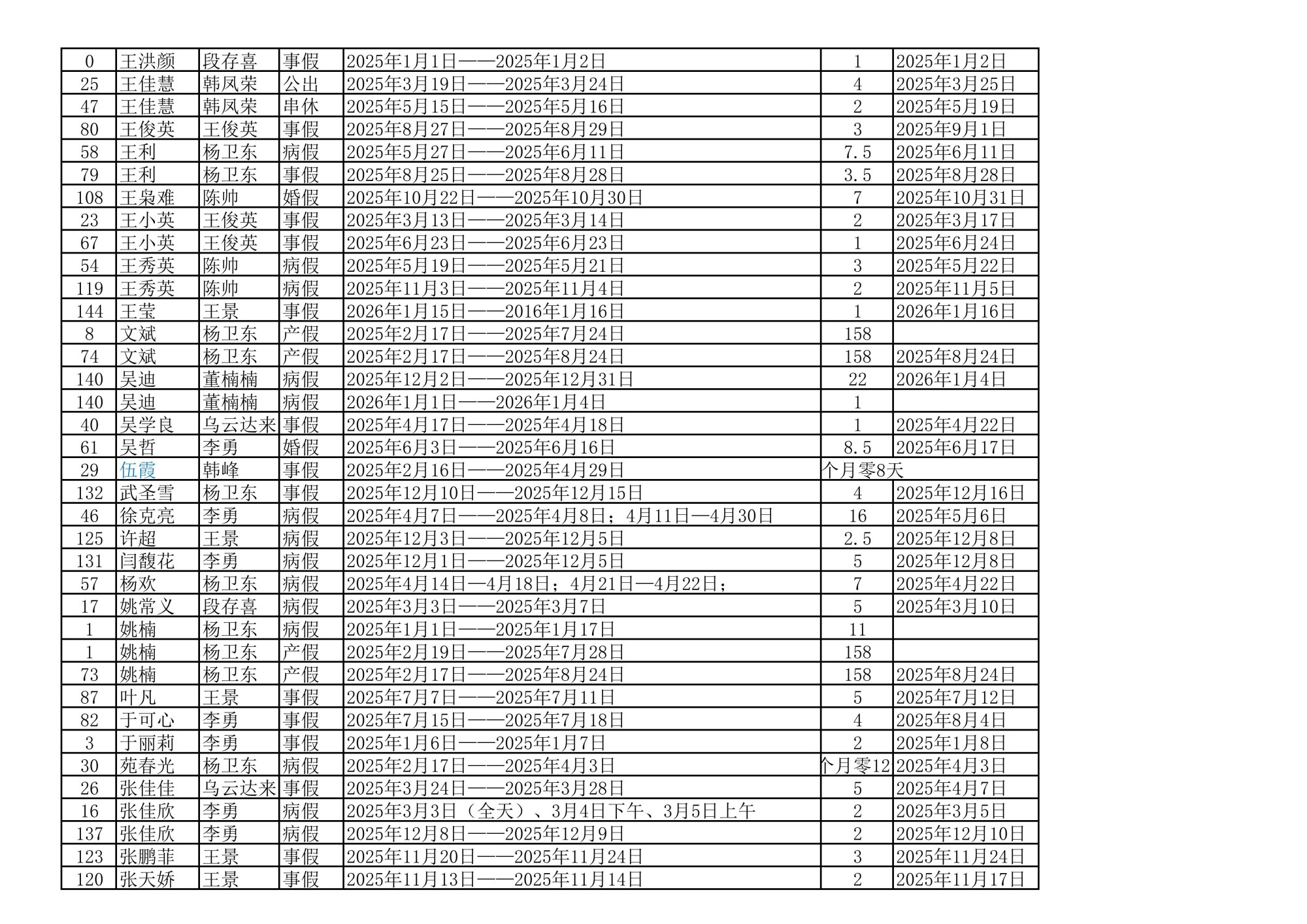
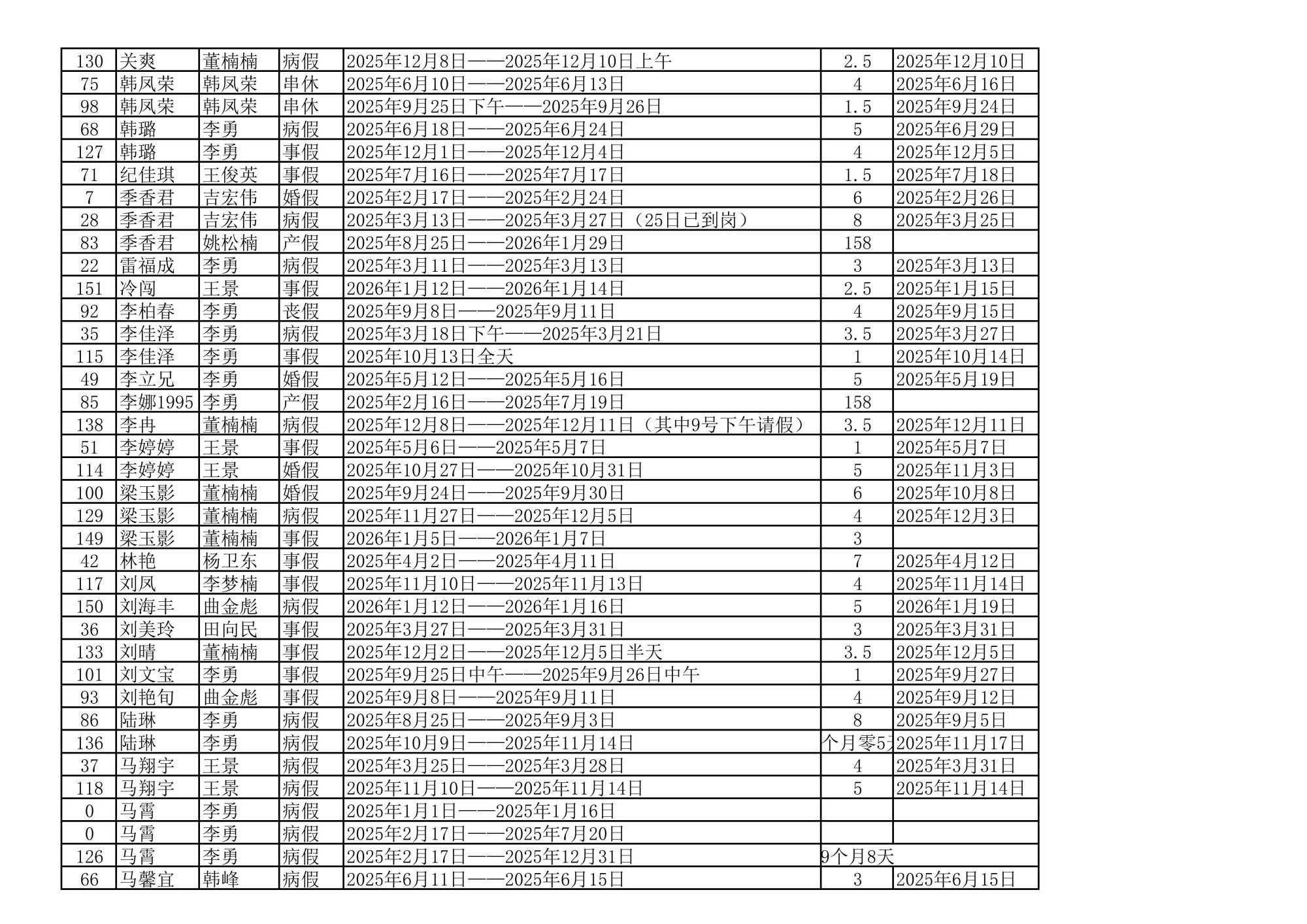
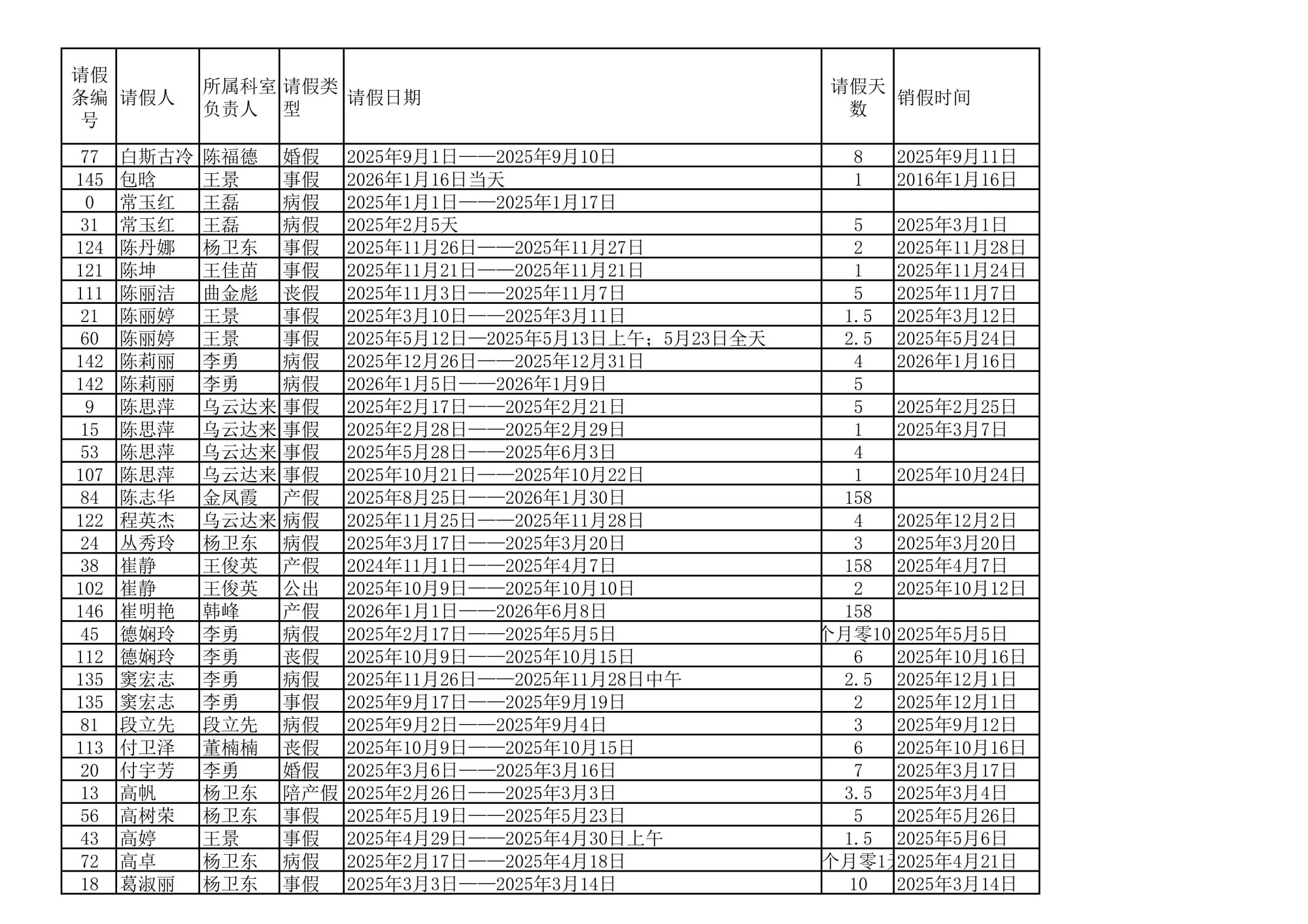
2025年度教职工请假情况公示
2026-01-20 11:56:33  通辽第五中学  出处:人事科

     现将2025年度教职工的请假情况进行公示,公示时间2026年1月20日——2026年1月23日,如有疑意,请联系人事科,联系电话6334177.

     请未上交假条的教职工在2026年1月23日前上交假条,公示的表格中的最后一栏“销假时间就是教职工的到岗时间,销假时间如果是空白且本人已经到岗上班的教职工,请在2026年1月23日前到人事科领取假条并销假。

                                                                                                                                                                                                                                                                              人事科

                                                                                                                                                                                                                                                                        2026年1月20日






 (本文已被浏览 242 次)
 发布人:王佳慧
 → 推荐给我的好友
上篇新闻:1月18日住宿生请假条
下篇新闻:中国共产党通辽市第五中学纪律检查委员会 2026 ...
网络会议 ┋  教师管理 ┋  学生管理 ┋  电话查询 ┋  网络教学 ┋  考核评价 ┋  邮编查询 ┋  万年历 ┋  博客空间 ┋  教学论坛 ┋  在线留言 ┋  与我在线 ┋  管理
         版权所有:通辽第五中学